Towards diagnostic metagenomics of Campylobacter in fecal samples
- PMID: 28595575
- PMCID: PMC5465461
- DOI: 10.1186/s12866-017-1041-3
Towards diagnostic metagenomics of Campylobacter in fecal samples
Abstract
Background: The development of diagnostic metagenomics is driven by the need for universal, culture-independent methods for detection and characterization of pathogens to substitute the time-consuming, organism-specific, and often culture-based laboratory procedures for epidemiological source-tracing. Some of the challenges in diagnostic metagenomics are, that it requires a great next-generation sequencing depth and unautomated data analysis.
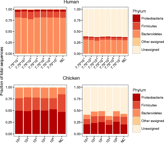
Results: DNA from human fecal samples spiked with 7.75 × 101-7.75 × 107 colony forming unit (CFU)/ml Campylobacter jejuni and chicken fecal samples spiked with 1 × 102-1 × 106 CFU/g Campylobacter jejuni was sequenced and data analysis was done by the metagenomic tools Kraken and CLARK. More hits were obtained at higher spiking levels, however with no significant linear correlations (human samples p = 0.12, chicken samples p = 0.10). Therefore, no definite detection limit could be determined, but the lowest spiking levels found positive were 7.75 × 104 CFU/ml in human feces and 103 CFU/g in chicken feces. Eight human clinical fecal samples with estimated Campylobacter infection loads from 9.2 × 104-1.0 × 109 CFU/ml were analyzed using the same methods. It was possible to detect Campylobacter in all the clinical samples.
Conclusions: Sensitivity in diagnostic metagenomics is improving and has reached a clinically relevant level. There are still challenges to overcome before real-time diagnostic metagenomics can replace quantitative polymerase chain reaction (qPCR) or culture-based surveillance and diagnostics, but it is a promising new technology.
Keywords: Culture independent; Molecular typing; Next generation sequencing.
Figures



References
-
- Hoorfar J. Rapid Detection, Characterization and Enumeration of Foodborne Pathogens. 2011. - PubMed
MeSH terms
Substances
LinkOut - more resources
Full Text Sources
Other Literature Sources
Medical