Comparison of the bacterial community composition in the granular and the suspended phase of sequencing batch reactors
- PMID: 28871435
- PMCID: PMC5583138
- DOI: 10.1186/s13568-017-0471-5
Comparison of the bacterial community composition in the granular and the suspended phase of sequencing batch reactors
Abstract
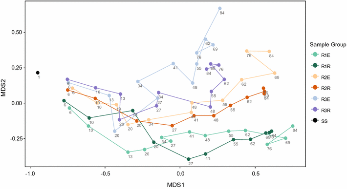
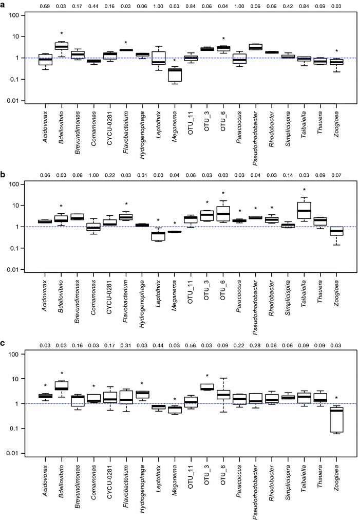
Granulation of activated sludge is an increasingly important area within the field of wastewater treatment. Granulation is usually achieved by high hydraulic selection pressure, which results in the wash-out of slow settling particles. The effect of the harsh wash-out conditions on the granular sludge ecosystem is not yet fully understood, but different bacterial groups may be affected to varying degrees. In this study, we used high-throughput amplicon sequencing to follow the community composition in granular sludge reactors for 12 weeks, both in the granular phase and the suspended phase (effluent). The microbiome of the washed out biomass was similar but not identical to the microbiome of the granular biomass. Certain taxa (e.g. Flavobacterium spp. and Bdellovibrio spp.) had significantly (p < 0.05) higher relative abundance in the granules compared to the effluent. Fluorescence in situ hybridization images indicated that these taxa were mainly located in the interior of granules and therefore protected from erosion. Other taxa (e.g. Meganema sp. and Zooglea sp.) had significantly lower relative abundance in the granules compared to the effluent, and appeared to be mainly located on the surface of granules and therefore subject to erosion. Despite being washed out, these taxa were among the most abundant members of the granular sludge communities and were likely growing fast in the reactors. The ratio between relative abundance in the granular biomass and in the effluent did not predict temporal variation of the taxa in the reactors, but it did appear to predict the spatial location of the taxa in the granules.
Keywords: Aerobic granular sludge; Microbial community composition; Sequencing batch reactors; Spatial distribution; Temporal variation; Wash-out dynamics.
Figures
References
-
- APHA . Standard methods for the examination of water and wastewater. 19. Washington D.C.: American Public Health Association; 1995.
-
- Bernardet J-F, Segers P, Vancanneyt M, Berthe F, Kersters K, Vandamme P. Cutting a Gordian Knot: emended classification and description of the genus Flavobacterium, emended description of the family Flavobacteriaceae, and proposal of Flavobacterium hydatis nom. nov. (Basonym, Cytophaga aquatilis Strohl and Tait 1978) Int J Syst Bacteriol. 1996;46:128–148. doi: 10.1099/00207713-46-1-128. - DOI
LinkOut - more resources
Full Text Sources
Other Literature Sources
Miscellaneous
