Integration of RNA-Seq data with heterogeneous microarray data for breast cancer profiling
- PMID: 29157215
- PMCID: PMC5697344
- DOI: 10.1186/s12859-017-1925-0
Integration of RNA-Seq data with heterogeneous microarray data for breast cancer profiling
Abstract
Background: Nowadays, many public repositories containing large microarray gene expression datasets are available. However, the problem lies in the fact that microarray technology are less powerful and accurate than more recent Next Generation Sequencing technologies, such as RNA-Seq. In any case, information from microarrays is truthful and robust, thus it can be exploited through the integration of microarray data with RNA-Seq data. Additionally, information extraction and acquisition of large number of samples in RNA-Seq still entails very high costs in terms of time and computational resources.This paper proposes a new model to find the gene signature of breast cancer cell lines through the integration of heterogeneous data from different breast cancer datasets, obtained from microarray and RNA-Seq technologies. Consequently, data integration is expected to provide a more robust statistical significance to the results obtained. Finally, a classification method is proposed in order to test the robustness of the Differentially Expressed Genes when unseen data is presented for diagnosis.
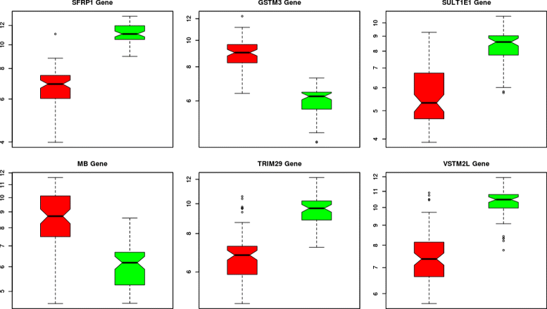
Results: The proposed data integration allows analyzing gene expression samples coming from different technologies. The most significant genes of the whole integrated data were obtained through the intersection of the three gene sets, corresponding to the identified expressed genes within the microarray data itself, within the RNA-Seq data itself, and within the integrated data from both technologies. This intersection reveals 98 possible technology-independent biomarkers. Two different heterogeneous datasets were distinguished for the classification tasks: a training dataset for gene expression identification and classifier validation, and a test dataset with unseen data for testing the classifier. Both of them achieved great classification accuracies, therefore confirming the validity of the obtained set of genes as possible biomarkers for breast cancer. Through a feature selection process, a final small subset made up by six genes was considered for breast cancer diagnosis.
Conclusions: This work proposes a novel data integration stage in the traditional gene expression analysis pipeline through the combination of heterogeneous data from microarrays and RNA-Seq technologies. Available samples have been successfully classified using a subset of six genes obtained by a feature selection method. Consequently, a new classification and diagnosis tool was built and its performance was validated using previously unseen samples.
Keywords: Breast cancer; Cancer; Classification; Gene expression; Integration; Microarray; RNA-Seq; Random Forest; SVM; k-NN.
Conflict of interest statement
Consent for publication
Not applicable.
Competing interests
Not applicable.
Publisher’s Note
Springer Nature remains neutral with regard to jurisdictional claims in published maps and institutional affiliations.
Figures











References
-
- OMS. Women’s health. 2013. http://www.who.int/mediacentre/factsheets/fs334/en/.
-
- Gohlmann H, Talloen W. Gene Expression Studies Using Affymetrix Microarrays: CRC Press.
-
- Illumina. Illumina Genes Expression arrays. 2009. http://www.exiqon.com/microrna-microarray-analysis.
-
- Exiqon. Exiqon Genes Expression arrays. 2009. http://www.illumina.com/techniques/microarrays/gene-expression-arrays.html.
MeSH terms
LinkOut - more resources
Full Text Sources
Other Literature Sources
Medical