Evaluation of a real-time PCR assay for detection and quantification of bacterial DNA directly in blood of preterm neonates with suspected late-onset sepsis
- PMID: 29679983
- PMCID: PMC5911371
- DOI: 10.1186/s13054-018-2010-4
Evaluation of a real-time PCR assay for detection and quantification of bacterial DNA directly in blood of preterm neonates with suspected late-onset sepsis
Abstract
Background: Rapid and accurate diagnosis of neonatal sepsis is highly warranted because of high associated morbidity and mortality. The aim of this study was to evaluate the performance of a novel multiplex PCR assay for diagnosis of late-onset sepsis and to investigate the value of bacterial DNA load (BDL) determination as a measure of infection severity.
Methods: This cross-sectional study was conducted in a neonatal intensive care unit. Preterm and/or very low birth weight infants suspected for late-onset sepsis were included. Upon suspicion of sepsis, a whole blood sample was drawn for multiplex PCR to detect the eight most common bacteria causing neonatal sepsis, as well as for blood culture. BDL was determined in episodes with a positive multiplex PCR.
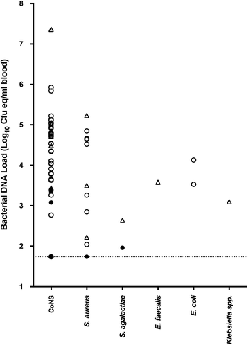
Results: In total, 91 episodes of suspected sepsis were investigated, and PCR was positive in 53 (58%) and blood culture in 60 (66%) episodes, yielding no significant difference in detection rate (p = 0.17). Multiplex PCR showed a sensitivity of 77%, specificity of 81%, positive predictive value of 87%, and negative predictive value of 68% compared with blood culture. Episodes with discordant results of PCR and blood culture included mainly detection of coagulase-negative staphylococci (CoNS). C-reactive protein (CRP) level and immature to total neutrophil (I/T) ratio were lower in these episodes, indicating less severe disease or even contamination. Median BDL was high (4.1 log10 cfu Eq/ml) with a wide range, and was it higher in episodes with a positive blood culture than in those with a negative blood culture (4.5 versus 2.5 log10 cfu Eq/ml; p < 0.0001). For CoNS infection episodes BDL and CRP were positively associated (p = 0.004), and for Staphylococcus aureus infection episodes there was a positive association between BDL and I/T ratio (p = 0.049).
Conclusions: Multiplex PCR provides a powerful assay to enhance rapid identification of the causative pathogen in late-onset sepsis. BDL measurement may be a useful indicator of severity of infection.
Keywords: Bacteremia; Bacterial DNA load; Late-onset sepsis; Molecular diagnosis; Neonatology; Real-time PCR.
Conflict of interest statement
Ethics approval and consent to participate
The Medical Ethics Review Committee of the VU University Medical Center (reference 2008/77) approved the study, and written informed consent was obtained from the parents or legal guardians of all neonates prior to inclusion.
Consent for publication
Not applicable.
Competing interests
MPB is an employee of Microbiome Ltd. PHMS is one of the founders and a shareholder of the VUmc spinoff company Microbiome Ltd. The other authors declare that they have no competing interests.
Publisher’s Note
Springer Nature remains neutral with regard to jurisdictional claims in published maps and institutional affiliations.
Figures


References
MeSH terms
Substances
Grants and funding
LinkOut - more resources
Full Text Sources
Other Literature Sources
Medical
Research Materials
Miscellaneous