Comparative Analysis of the Effects of Olive Oil Hydroxytyrosol and Its 5- S-Lipoyl Conjugate in Protecting Human Erythrocytes from Mercury Toxicity
- PMID: 29849921
- PMCID: PMC5924984
- DOI: 10.1155/2018/9042192
Comparative Analysis of the Effects of Olive Oil Hydroxytyrosol and Its 5- S-Lipoyl Conjugate in Protecting Human Erythrocytes from Mercury Toxicity
Abstract
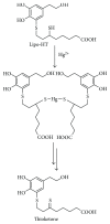
Oxidative stress is one of the underlying mechanisms of the toxic effects exerted by mercury (Hg) on human health. Several antioxidant compounds, including the olive oil phenol hydroxytyrosol (HT), were investigated for their protective action. Recently, we have reported that 5-S-lipoylhydroxytyrosol (Lipo-HT) has shown increased antioxidant activities compared to HT and exerted potent protective effects against reactive oxygen species (ROS) generation and oxidative damage in human hepatocellular carcinoma HepG2 cell lines. In this study, the effects of Lipo-HT and HT on oxidative alterations of human erythrocytes induced by exposure to 40 μM HgCl2 were comparatively evaluated. When administered to the cells, Lipo-HT (5-20 μM) proved nontoxic and it decreased the Hg-induced generation of ROS, the hemolysis, and the depletion of intracellular GSH levels. At all tested concentrations, Lipo-HT exhibited higher ability to counteract Hg-induced cytotoxicity compared to HT. Model studies indicated the formation of a mercury complex at the SH group of Lipo-HT followed by a redox reaction that would spare intracellular GSH. Thus, the enhanced erythrocyte protective action of Lipo-HT from Hg-induced damage with respect to HT is likely due to an effective chelating and reducing ability toward mercury ions. These findings encourage the use of Lipo-HT in nutraceutical strategies to contrast heavy metal toxicity in humans.
Figures






References
-
- Poudyal H., Lemonakis N., Efentakis P., et al. Hydroxytyrosol ameliorates metabolic, cardiovascular and liver changes in a rat model of diet-induced metabolic syndrome: pharmacological and metabolism-based investigation. Pharmacological Research. 2017;117:32–45. doi: 10.1016/j.phrs.2016.12.002. - DOI - PubMed
-
- Zappia V., Galletti P., Manna C., et al. Olives Olive Oil Health Disease Prevention. San Diego, CA, USA: Academic Press; 2010. Chapter 136 – effects of hydroxytyrosol on cyclosporine nephrotoxicity; pp. 1245–1252. - DOI
-
- Bigagli E., Cinci L., Paccosi S., Parenti A., D'Ambrosio M., Luceri C. Nutritionally relevant concentrations of resveratrol and hydroxytyrosol mitigate oxidative burst of human granulocytes and monocytes and the production of pro-inflammatory mediators in LPS-stimulated RAW 264.7 macrophages. International Immunopharmacology. 2017;43:147–155. doi: 10.1016/j.intimp.2016.12.012. - DOI - PubMed
MeSH terms
Substances
LinkOut - more resources
Full Text Sources
Other Literature Sources