Claims of causality in health news: a randomised trial
- PMID: 31092248
- PMCID: PMC6521363
- DOI: 10.1186/s12916-019-1324-7
Claims of causality in health news: a randomised trial
Abstract
Background: Misleading news claims can be detrimental to public health. We aimed to improve the alignment between causal claims and evidence, without losing news interest (counter to assumptions that news is not interested in communicating caution).
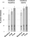
Methods: We tested two interventions in press releases, which are the main sources for science and health news: (a) aligning the headlines and main causal claims with the underlying evidence (strong for experimental, cautious for correlational) and (b) inserting explicit statements/caveats about inferring causality. The 'participants' were press releases on health-related topics (N = 312; control = 89, claim alignment = 64, causality statement = 79, both = 80) from nine press offices (journals, universities, funders). Outcomes were news content (headlines, causal claims, caveats) in English-language international and national media (newspapers, websites, broadcast; N = 2257), news uptake (% press releases gaining news coverage) and feasibility (% press releases implementing cautious statements).
Results: News headlines showed better alignment to evidence when press releases were aligned (intention-to-treat analysis (ITT) 56% vs 52%, OR = 1.2 to 1.9; as-treated analysis (AT) 60% vs 32%, OR = 1.3 to 4.4). News claims also followed press releases, significant only for AT (ITT 62% vs 60%, OR = 0.7 to 1.6; AT, 67% vs 39%, OR = 1.4 to 5.7). The same was true for causality statements/caveats (ITT 15% vs 10%, OR = 0.9 to 2.6; AT 20% vs 0%, OR 16 to 156). There was no evidence of lost news uptake for press releases with aligned headlines and claims (ITT 55% vs 55%, OR = 0.7 to 1.3, AT 58% vs 60%, OR = 0.7 to 1.7), or causality statements/caveats (ITT 53% vs 56%, OR = 0.8 to 1.0, AT 66% vs 52%, OR = 1.3 to 2.7). Feasibility was demonstrated by a spontaneous increase in cautious headlines, claims and caveats in press releases compared to the pre-trial period (OR = 1.01 to 2.6, 1.3 to 3.4, 1.1 to 26, respectively).
Conclusions: News claims-even headlines-can become better aligned with evidence. Cautious claims and explicit caveats about correlational findings may penetrate into news without harming news interest. Findings from AT analysis are correlational and may not imply cause, although here the linking mechanism between press releases and news is known. ITT analysis was insensitive due to spontaneous adoption of interventions across conditions.
Trial registration: ISRCTN10492618 (20 August 2015).
Keywords: Media; Public health; Science communication; Science news.
Conflict of interest statement
Ethics approval and consent to participate
The protocol was approved by the Research Ethics Committee at the School of Psychology, Cardiff University. We obtained explicit opt-in consent from the press release authors (the press officers) and informed opt-out consent from the academics whose work each press release was based on.
Competing interests
The authors declare that they have no competing interests.
Publisher’s Note
Springer Nature remains neutral with regard to jurisdictional claims in published maps and institutional affiliations.
Figures
References
-
- Castell S, Charlton A, Clemence M, Pettigrew N, Pope S, Quigley A, et al. Public attitudes to science. Ipsos Mori report for Department for Business Innovation and Skills. 2015. pp. 1–202.
-
- Briggs CL, Hallin DC. Making health public: how news coverage is remaking media, medicine, and contemporary life. 1. Milton Park, Abingdon, Oxon; New York, NY: Routledge; 2016.
Publication types
MeSH terms
Associated data
LinkOut - more resources
Full Text Sources
