Ion Distribution and Hydration Structure at Solid-Liquid Interface between NaCl Crystal and Its Solution
- PMID: 31737830
- PMCID: PMC6854578
- DOI: 10.1021/acsomega.9b02620
Ion Distribution and Hydration Structure at Solid-Liquid Interface between NaCl Crystal and Its Solution
Abstract
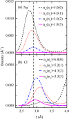
The interface structure between NaCl crystal and its solution has been investigated at the saturated concentration of 298 K by molecular dynamics simulations. We have found that there are many fine structures at this complex interface. Near the surface of crystal, most of Na+ only coordinate with water molecules, while almost all Cl- coordinate with Na+ in addition to water molecules. An ion coordinating with more water molecules is farther away from the epitaxial position of lattice. As approaching to the interface, the first hydration shell of ions has the tendency of being ordered, while the orientation of dipole of water molecules in the first hydration shell becomes more disordered than that in the solution. Generally, the first hydration shell of Na+ is less affected by nearest Cl-, whereas the first hydration shell of Cl- is significantly affected by nearest Na+.
Copyright © 2019 American Chemical Society.
Conflict of interest statement
The authors declare no competing financial interest.
Figures








References
-
- Ito F.; Kobayashi K.; Spijker P.; Zivanovic L.; Umeda K.; Nurmi T.; Holmberg N.; Laasonen K.; Foster A. S.; Yamada H. Molecular Resolution of the Water Interface at an Alkali Halide with Terraces and Steps. J. Phys. Chem. C. 2016, 120, 19714–19722. 10.1021/acs.jpcc.6b05651. - DOI
LinkOut - more resources
Full Text Sources
Research Materials