Skip to main page content
U.S. flag

An official website of the United States government

Dot gov

The .gov means it’s official.
Federal government websites often end in .gov or .mil. Before sharing sensitive information, make sure you’re on a federal government site.

Https

The site is secure.
The https:// ensures that you are connecting to the official website and that any information you provide is encrypted and transmitted securely.

Access keys NCBI Homepage MyNCBI Homepage Main Content Main Navigation
Review
. 2019 Nov 17;24(22):4165.
doi: 10.3390/molecules24224165.

Spirocyclic Motifs in Natural Products

Affiliations
Review

Spirocyclic Motifs in Natural Products

Evgeny Chupakhin et al. Molecules. .

Abstract

Spirocyclic motifs are emerging privileged structures for drug discovery. They are also omnipresent in the natural products domain. However, until today, no attempt to analyze the structural diversity of various spirocyclic motifs occurring in natural products and their relative populations with unique compounds reported in the literature has been undertaken. This review aims to fill that void and analyze the diversity of structurally unique natural products containing spirocyclic moieties of various sizes.

Keywords: biological activity; chemical diversity; natural products; privileged structures; spirocycles.

PubMed Disclaimer

Conflict of interest statement

The authors declare no conflicts of interest.

Figures

Figure 1
Figure 1
Examples of pharmaceutically important compounds bearing a spirocyclic motif.
Figure 2
Figure 2
Sesquiterpenes from Schinus terebinthifolius fruit containing a [2.4.0] spirocyclic moiety.
Figure 3
Figure 3
Cyclohelminthol X (8) from Helminthosporium velutinum plant.
Figure 4
Figure 4
Valtrate (9) isolated from Valerianae Radix plant extract inhibiting HIV-1 transport.
Figure 5
Figure 5
Structures of fungi-derived illudins M and S.
Figure 6
Figure 6
Structures of sesquiterpenes 1214 isolated from fungus Agrocybe aegerita.
Figure 7
Figure 7
Structures of antiparasitic, fungus-derived (−)-ovalicin (15) and fumagillin (16).
Figure 8
Figure 8
Structures of duocarmycin antitumor antibiotics.
Figure 9
Figure 9
The only known natural product containing a [3.4.0] spirocyclic motif.
Figure 10
Figure 10
Cleroindicin A isolated from fungus Clerodendrum japonicum.
Figure 11
Figure 11
Sesquiterpene bis-lactones isolated from Illicium plants containing a [3.7.0] spirocyclic motif.
Figure 12
Figure 12
Various naturally occurring [4.4.0] spirocyclic lactones.
Figure 13
Figure 13
Limonoids 3132 containing both a [4.4.0] and a [2.4.0] spirocyclic system.
Figure 14
Figure 14
Tricyclic spirolactones (incorporating two [4.4.0] spirocyclic systems) isolated from Penicillium purpurogenum.
Figure 15
Figure 15
New spirocyclic curcumanolides possessing a [4.4.0] spirocyclic system each, isolated from Curcuma heyneana.
Figure 16
Figure 16
New iridoid glycosides isolated from Morinda citrifolia plant.
Figure 17
Figure 17
Diastereomeric spirophthalides recently isolated from marine-sponge-derived fungus Setosphaeria sp.
Figure 18
Figure 18
Spirocyclic mycotoxins produced by P. aethiopicum.
Figure 19
Figure 19
Spirocyclic lcatones isolated from Penicillium dangeardii.
Figure 20
Figure 20
Structure of herbicidal hydantocidine isolated from Streptomyces hygroscopicus.
Figure 21
Figure 21
Spirocyclic benzofuranones isolated from Ganoderma Applanatum.
Figure 22
Figure 22
Examples of naturally occurring spirooxyindoles.
Figure 23
Figure 23
Structures of mitragynine pseudoindoxyl (59) and hydroxy mitragynine pseudoindoxyl (60).
Figure 24
Figure 24
Structures of [4.4.0] spirocyclic pseudoindoxyl alkaloids fluorocurine (61), fungus-derived diketopiperazines (62ad), brevianamide B (63), and rauniticine pseudoindoxyl (64).
Figure 25
Figure 25
Members of a family of spirocyclic lactone lactams isolated from marine sediment-derived fungus Aspergillus sydowi D2–6.
Figure 26
Figure 26
Natural products illustrating the range of heterospirocyclic [4.4.0]-sized motifs.
Figure 27
Figure 27
1,6-Dioxaspiro[4.4]nonane secondary metabolite isolated from entomogenous fungus Isaria cateniannulata.
Figure 28
Figure 28
Bipolaricins from phytopathogenic Bipolaris sp. fungus.
Figure 29
Figure 29
Structure of fredericamycin A possessing a [4.4.0] spirocyclic motif.
Figure 30
Figure 30
Overall diversity of [4.4.0] spirocyclic scaffolds represented in the natural products domain.
Figure 31
Figure 31
Spiro pentacyclic secondary metabolite isolated from Teucrium viscidum.
Figure 32
Figure 32
New spirocyclic triterpenoids isolated from Leonurus japonicas.
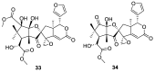
Figure 33
Figure 33
Spirocarolitone isolated from Ruptiliocarpon caracolito.
Figure 34
Figure 34
Structurally novel triterpenoids isolated from Belamcanda chinensis.
Figure 35
Figure 35
The [4.5.0] spirocyclic sesquiterpenoids from rhizomes of Acorus calamus.
Figure 36
Figure 36
Canusesnols from Capsicum annum.
Figure 37
Figure 37
Anti-ring worm drug griseofulvin (GrisovinTM).
Figure 38
Figure 38
Examples of natural [4.5.0] spirocyclic lactones.
Figure 39
Figure 39
Abyssomycins from Actinobacteria.
Figure 40
Figure 40
Antibacterial and antitumor compound lactonamycin Z isolated from Streptomyces sanglieri.
Figure 41
Figure 41
Spirocyclic lactones isolated from endophyte fungal parasites.
Figure 42
Figure 42
Lambertollols A and B.
Figure 43
Figure 43
Spirocyclic lactones from traditional Chinese medicinal plant Rehmannia glutinosa.
Figure 44
Figure 44
Perenniporide A, the only spirocyclic lactone of the perenniporide family.
Figure 45
Figure 45
Secochiliolide acid.
Figure 46
Figure 46
Abiespiroside A isolated from Chinese tree Abies dalavayi.
Figure 47
Figure 47
Pathylactone A isolated from marine sources.
Figure 48
Figure 48
Spirocyclic carane lactones with insect-feeding deterrent activity.
Figure 49
Figure 49
Natural spirocyclic tetrahydrofurans.
Figure 50
Figure 50
Enantiomers of [4.5.0] spirocyclic dihydrofuran 8,9-dehydrotheaspirone reported in the literature.
Figure 51
Figure 51
Spirocyclic labdane–type diterpenoids isolated from the fruit of Vitex agnus-castus.
Figure 52
Figure 52
Spirocyclic natural product heliespirone featuring a tetrahydrofurane and a quinone-like moiety.
Figure 53
Figure 53
Erectile function-potentiating toxin featuring a [4.5.0] spirocyclic motif.
Figure 54
Figure 54
[4.5.0] spirocyclic quinochalcone saffloquinoside A isolated from Carthamus tinctorius.
Figure 55
Figure 55
Alkaloid (±)-pandamarine isolated from Pandanus amaryllif olius.
Figure 56
Figure 56
Surugatoxin isolated from the toxic Japanese ivory shell (Babylonica japonica).
Figure 57
Figure 57
Structures of representative spirostaphylotrichins possessing a [4.5.0] spirocyclic motif.
Figure 58
Figure 58
Current diversity of [4.5.0] spirocyclic scaffolds.
Figure 59
Figure 59
Spiro meroterpenoids spiroapplanatumines (122124) isolated from fungus Ganoderma applanatum.
Figure 60
Figure 60
Fomlactones A–C possessing a [4.6.0] spirocyclic moiety.
Figure 61
Figure 61
Enantiopure juglanaloid A (128ab) and juglanaloid B (129ab) isolated from Juglans mandshurica and further obtained by chiral separation.
Figure 62
Figure 62
Lanostane-type triterpenoid spirolactones from Ganoderma applanatum.
Figure 63
Figure 63
Structure of auriculatol A possessing a [4.6.0] spirocyclic motif.
Figure 64
Figure 64
Structure of [4.6.0] spirocyclic seconoriridone A.
Figure 65
Figure 65
Structures of gelsenium alkaloids possessing a [4.6.0] spirocyclic system.
Figure 66
Figure 66
Natural product phyllanthunin possessing a [4.7.0] spirocyclic moiety isolated from Phyllanthus emblica.
Figure 67
Figure 67
Portimines A and B isolated from Vulcanodinium rugosum containing both one [4.7.0] and one [4.5.0] spirocyclic motif.
Figure 68
Figure 68
Spirocyclic chamigrane sesquiterpenes, merulinols B (143), C (144), E (145), and F (146).
Figure 69
Figure 69
Hyperbeanol C isolated from Hypericum beanie.
Figure 70
Figure 70
Thielavialides A−E (148152) and pestafolide A (153).
Figure 71
Figure 71
Pteridic acids C and F isolated from Streptomyces sp. SCSGAA 0027 possessing a 1,7-dioxaspiro[5.5.0]undecane motif.
Figure 72
Figure 72
Pollenopyrroside A isolated from bee-collected Brassica campestris pollen.
Figure 73
Figure 73
New spirocyclic piperazin-2,5-dione alkaloids isolated from Aspergillus variecolor.
Figure 74
Figure 74
Spirocyclic piperazin-2,5-dione variecolortin B isolated from the marine-derived fungus Eurotium sp. SCSIO F452.
Figure 75
Figure 75
Bioactive [5.5.0] spirocyclic meroterpenoids isolated from mangrove-derived fungus Penicillium sp.
Figure 76
Figure 76
Alkaloids 163i of the histrionicotoxin class isolated from ant Carebarella bicolor.
Figure 77
Figure 77
General structure of [5.6.0] spirocyclic orthoester periplosides.
Figure 78
Figure 78
Spirolide G isolated from toxigenic dinoflagellate Alexandrium ostenfeldii.
Figure 79
Figure 79
A [5.6.0] spirocyclic compound isolated from marine-derived fungus Eurotium sp. SCSIO F452.
Figure 80
Figure 80
Vieloplain G isolated from Xylopia vielana containing a [5.6.0] spirocyclic scaffold.
Figure 81
Figure 81
Spiroschincarin A isolated from the fruit of Schisandra incarnate.
Figure 82
Figure 82
Structurally diverse spirocyclic frameworks isolated from a single plant species (Gelsemium elegans).

References

    1. Newman D.J., Cragg G.M. Natural products as sources of new drugs over the 30 years from 1981 to 2010. J. Nat. Prod. 2012;75:311–335. doi: 10.1021/np200906s. - DOI - PMC - PubMed
    1. Rios R. Enantioselective methodologies for the synthesis of spiro compounds. Chem. Soc. Rev. 2012;41:1060–1074. doi: 10.1039/C1CS15156H. - DOI - PubMed
    1. Zheng Y., Tice C.M., Singh S.B. The use of spirocyclic scaffolds in drug discovery. Bioorg. Med. Chem. Lett. 2014;24:3673–3682. doi: 10.1016/j.bmcl.2014.06.081. - DOI - PubMed
    1. Zhao H., Akritopoulou-Znze I. When analoging is not enough: Scaffold discovery in medicinal chemistry. Exp. Opin. Drug. Discov. 2010;5:123–134. doi: 10.1517/17460440903584874. - DOI - PubMed
    1. Smith L.K., Baxendale I.R. Total syntheses of natural products containing spirocarbocycles. Org. Biomol. Chem. 2015;13:9907–9933. doi: 10.1039/C5OB01524C. - DOI - PubMed

MeSH terms

LinkOut - more resources