Bisphenol S Impaired Human Granulosa Cell Steroidogenesis in Vitro
- PMID: 32155818
- PMCID: PMC7084356
- DOI: 10.3390/ijms21051821
Bisphenol S Impaired Human Granulosa Cell Steroidogenesis in Vitro
Abstract
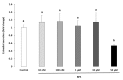
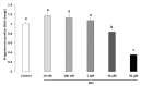
Bisphenol S (BPS) is a structural analog of the endocrine disruptor bisphenol A (BPA); it is the main BPA replacement in the plastics industry. Previous studies have shown that BPA and BPS exhibit similar effects on reproduction in fish and rodent species. BPS reportedly alters steroidogenesis in bovine granulosa cells. Luteinised granulosa cells collected from 59 women who were undergoing an in vitro fertilization procedure were cultured for 48 h in the presence or absence of BPS (10 nM, 100 nM, 1 µM, 10 µM or 50 µM). BPS exposure was investigated by assessing follicular fluids from these 59 women for their BPS content. Culture medium, cells, total messenger RNA (mRNA) and total protein extracted from the luteinised granulosa cells were examined for oestradiol and progesterone secretion, cellular proliferation, viability, gene expression, steroidogenic enzyme expression and cell signaling. BPS was measured in follicular fluids using mass spectrometry. Exposure of granulosa cells to 10 or 50 µM BPS for 48 h induced a 16% (p = 0.0059) and 64% (p < 0.0001) decrease, respectively, in progesterone secretion; 50 µM BPS decreased oestradiol secretion by 46% (p < 0.0001). Ten µM BPS also tended to reduce CYP11A1 protein expression by 37% (p = 0.0947) without affecting HSD3B1 and CYP19A1 expression. Fifty µM BPS increased ERRγ expression. Environmental levels of BPS (nanomolar range) did not induce changes in steroidogenesis in human granulosa cells. The effects of BPS were observed after only 48 h of BPS exposure. These acute effects might be similar to chronic effects of physiological BPS levels.
Keywords: Bisphenol S; endocrine disruptors; granulosa cells; proliferation; steroidogenesis; women.
Conflict of interest statement
The authors declare that there are no conflicts of interest that could be perceived as prejudicing the impartiality of the reported research.
Figures
References
-
- Al-Saleh I., El-Doush I., Grisellhi B., Coskun S. The effect of caffeine consumption on the success rate of pregnancy as well various performance parameters of in-vitro fertilization treatment. Med. Sci. Monit. 2010;16:CR598–CR605. - PubMed
-
- Jirsova S., Masata J., Jech L., Zvarova J. Effect of polychlorinated biphenyls (PCBs) and 1,1,1-trichloro-2,2,-bis (4-chlorophenyl)-ethane (DDT) in follicular fluid on the results of in vitro fertilization-embryo transfer (IVF-ET) programs. Fertil. Steril. 2010;93:1831–1836. doi: 10.1016/j.fertnstert.2008.12.063. - DOI - PubMed
-
- Eladak S., Grisin T., Moison D., Guerquin M.J., N’Tumba-Byn T., Pozzi-Gaudin S., Benachi A., Livera G., Rouiller-Fabre V., Habert R. A new chapter in the bisphenol A story: Bisphenol S and bisphenol F are not safe alternatives to this compound. Fertil. Steril. 2015;103:11–21. doi: 10.1016/j.fertnstert.2014.11.005. - DOI - PubMed
MeSH terms
Substances
LinkOut - more resources
Full Text Sources
