Incidence of thrombosis and hemorrhage in hospitalized cancer patients with COVID-19
- PMID: 32692862
- PMCID: PMC7405046
- DOI: 10.1111/jth.15018
Incidence of thrombosis and hemorrhage in hospitalized cancer patients with COVID-19
Abstract
Background: Coronavirus disease-2019 (COVID-19) is a recognized prothrombotic state. Patients hospitalized with active cancer are predisposed to thrombosis but whether active cancer further amplifies thrombotic risk with COVID-19 is not known.
Objectives: To evaluate cumulative incidences of thrombotic and hemorrhagic events in hospitalized COVID-19 patients with and without active cancer at 28 days.
Methods: A retrospective cohort analysis of consecutive adults hospitalized with COVID-19 was performed. Active cancer required cancer-directed therapy within previous 6 months. The cumulative incidences of thrombosis or hemorrhage were estimated considering death as a competing risk.
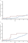
Results: Patients without cancer (n = 353) and active cancer (n = 45) were comparable in terms of age, sex, antibiotics administered, length of hospitalization, and critical care. The most common malignancies were lymphoid (17.8%), gastrointestinal (15.6%), lung (13.3%), and genitourinary (13.3%). At day 28, the cumulative incidence of thrombotic events was 18.2% (95% confidence interval [CI], 10.2%-27.9%) in the non-cancer cohort and 14.2% (95% CI, 4.7%-28.7%) in the cancer cohort. The cumulative incidence of major and fatal bleeding at day 28 was 20.8% (95% CI, 12.1%-31.0%) in the non-cancer group and 19.5% (95% CI, 5.5%-39.8%) in the cancer cohort. Three patients experienced fatal bleeds, all of whom were in the non-cancer cohort. Survival was significantly shorter in the group with active cancer (P = .038).
Conclusions: We observed a similarly high incidence of thrombosis and bleeding among patients admitted with COVID-19 with or without active cancer.
Keywords: COVID-19; anticoagulation; cancer; hemorrhage; venous thromboembolism.
© 2020 International Society on Thrombosis and Haemostasis.
Figures



References
-
- Medicine JHUa. Coronavirus resource center. https://coronavirus.jhu.edu/map.html. 2020.
Publication types
MeSH terms
Substances
Grants and funding
LinkOut - more resources
Full Text Sources
Other Literature Sources
Medical