Skip to main page content
U.S. flag

An official website of the United States government

Dot gov

The .gov means it’s official.
Federal government websites often end in .gov or .mil. Before sharing sensitive information, make sure you’re on a federal government site.

Https

The site is secure.
The https:// ensures that you are connecting to the official website and that any information you provide is encrypted and transmitted securely.

Access keys NCBI Homepage MyNCBI Homepage Main Content Main Navigation
. 2020 Dec;10(2):020430.
doi: 10.7189/jogh.10.020430.

Variability in published rates of influenza-associated hospitalizations: A systematic review, 2007-2018

Affiliations

Variability in published rates of influenza-associated hospitalizations: A systematic review, 2007-2018

Katherine M Roguski et al. J Glob Health. 2020 Dec.

Abstract

Background: Influenza burden estimates help provide evidence to support influenza prevention and control programs at local and international levels.

Methods: Through a systematic review, we aimed to identify all published articles estimating rates of influenza-associated hospitalizations, describe methods and data sources used, and identify regions of the world where estimates are still lacking. We evaluated study heterogeneity to determine if we could pool published rates to generate global estimates of influenza-associated hospitalization.

Results: We identified 98 published articles estimating influenza-associated hospitalization rates from 2007-2018. Most articles (65%) identified were from high-income countries, with 34 of those (53%) presenting estimates from the United States. While we identified fewer publications (18%) from low- and lower-middle-income countries, 50% of those were published from 2015-2018, suggesting an increase in publications from lower-income countries in recent years. Eighty percent (n = 78) used a multiplier approach. Regression modelling techniques were only used with data from upper-middle or high-income countries where hospital administrative data was available. We identified variability in the methods, case definitions, and data sources used, including 91 different age groups and 11 different categories of case definitions. Due to the high observed heterogeneity across articles (I2 >99%), we were unable to pool published estimates.

Conclusions: The variety of methods, data sources, and case definitions adapted locally suggests that the current literature cannot be synthesized to generate global estimates of influenza-associated hospitalization burden.

PubMed Disclaimer

Conflict of interest statement

Competing interests: The authors completed the ICMJE Unified Competing Interest form (available upon request from the corresponding author) and declare no conflicts of interest.

Figures

Figure 1
Figure 1
Identification and selection of eligible articles for the systematic review of rates of influenza-associated hospitalization.
Figure 2
Figure 2
Distribution of extracted articles by publication year and World Health Organization region.
Figure 3
Figure 3
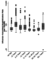
Published population-based rates of influenza-associated hospitalization, by combined age groups.
Figure 4
Figure 4
Published population-based rates of influenza-associated hospitalization, by case definition categories. ARI – acute respiratory illness, P+I – pneumonia and Influenza, R+C – respiratory and circulatory.

References

    1. Lafond KE, Nair H, Rasooly MH, Valente F, Booy R, Rahman M, et al. Global Role and Burden of Influenza in Pediatric Respiratory Hospitalizations, 1982-2012: A Systematic Analysis. PLoS Med. 2016;13:e1001977. 10.1371/journal.pmed.1001977 - DOI - PMC - PubMed
    1. World Health Organization. Pandemic Influenza Preparedness Framework: Partnership Contribution Implementation Plan 2013-2016 Geneva, Switzerland: WHO, 2015.
    1. Cromer D, van Hoek AJ, Jit M, Edmunds WJ, Fleming D, Miller E.The burden of influenza in England by age and clinical risk group: a statistical analysis to inform vaccine policy. J Infect. 2014;68:363-71. 10.1016/j.jinf.2013.11.013 - DOI - PubMed
    1. Peasah SK, Azziz-Baumgartner E, Breese J, Meltzer MI, Widdowson MA.Influenza cost and cost-effectiveness studies globally–a review. Vaccine. 2013;31:5339-48. 10.1016/j.vaccine.2013.09.013 - DOI - PubMed
    1. Polansky LS, Outin-Blenman S, Moen AC.Improved Global Capacity for Influenza Surveillance. Emerg Infect Dis. 2016;22:993-1001. 10.3201/eid2206.151521 - DOI - PMC - PubMed

Publication types