Bone cement implantation syndrome in cemented hip hemiarthroplasty-a persistent risk
- PMID: 33495852
- PMCID: PMC9001528
- DOI: 10.1007/s00068-020-01587-8
Bone cement implantation syndrome in cemented hip hemiarthroplasty-a persistent risk
Abstract
Background: Every year, ~ 210,000 initial implantations of hip endoprostheses are carried out in Germany alone. The "bone cement implantation syndrome" (BCIS) is considered a severe peri- and early-postoperative complication when implanting cemented prostheses. The origin of the BCIS and its impact on the clinical outcome are still uncertain. This study investigates the clinical progression after BCIS cases in patients with cemented hemiarthroplasty. Risk factors for the occurrence of BCIS are evaluated.
Material and methods: Clinical data of all patients with a proximal femur fracture and which received a cemented hemiarthroplasty within a period of 9.5 years have been collected. BCIS (+) patients and BCIS (-) patients were compared with respect to their demographics and clinical outcome. Risk factors for the development of BCIS were identified.
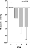
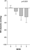
Results: A total of 208 patients could be included with complete data sets. The mean age was 81.1 ± 10.0 years. Overall, 37% of the patients showed symptoms of BCIS. In comparison to BCIS (-) patients there was a significantly higher rate of cardiovascular complications (27.3% vs. 13.7%, p = 0.016) and a higher in-hospital mortality rate (15.6% vs. 4.6%, p = 0.006) in BCIS (+) patients. Age, absence of a femoral borehole and ASA status were identified as statistically significant risk factors of BCIS.
Conclusion: BCIS is frequently observed and in some cases severe complication. The therapy is exclusively symptomatic; identifying preventional measures might reduce the occurrence of BCIS.
Keywords: Bone cement implantation syndrome; Hip hemiarthroplasty; Outcome; Palacos reaction; Risk factors.
© 2021. The Author(s).
Conflict of interest statement
Weingärtner K, Störmann P, Schramm D, Wutzler S, Zacharowski K, Marzi I, and Lustenberger T declare that they have no conflict of interest.
Figures
References
-
- Gaik C, Schmitt N, Wiesmann T. Bone cement implantation syndrome—pathophysiology, diagnostic & treatment options. Anästh Intensivmed. 2019;60:124–133.
MeSH terms
Substances
LinkOut - more resources
Full Text Sources
Other Literature Sources
Medical
