Novel Thermoelectric Character of Rhenium Carbonitride, ReCN
- PMID: 34308067
- PMCID: PMC8296554
- DOI: 10.1021/acsomega.1c02357
Novel Thermoelectric Character of Rhenium Carbonitride, ReCN
Abstract
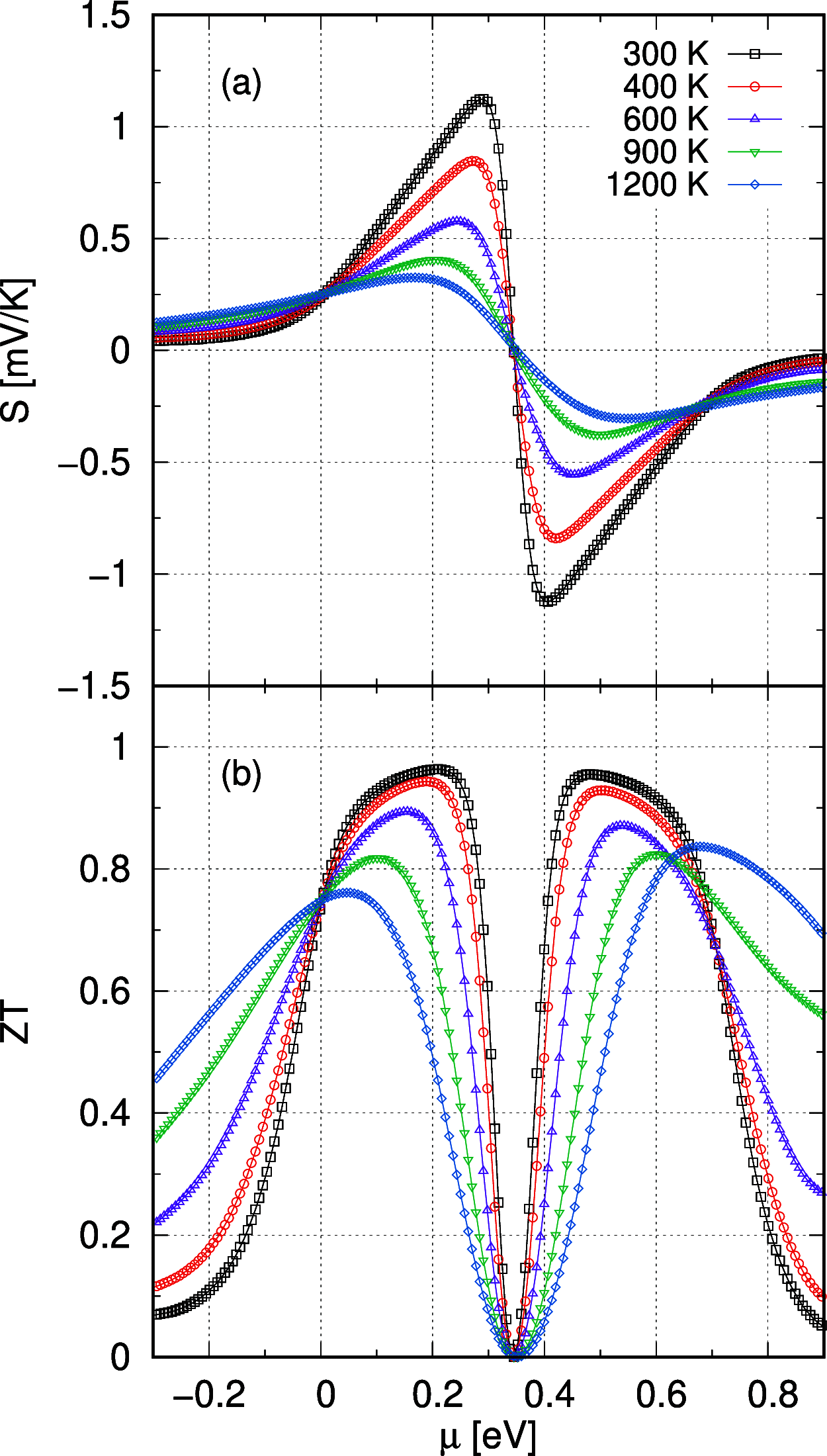
Nowadays, it is very important to study and propose new mechanisms for generating electricity that are environmentally friendly, in addition to using renewable resources. Thermoelectric (TE) devices are fabricated with materials that can convert a temperature difference into electricity, without the need for rotating parts. In this work, we report the TE properties of rhenium carbonitride (ReCN) as an important feature of a hard and thermodynamically stable material of band gap Δg = 0.626 eV. We use the electronic band structure behavior near the Fermi energy with the Seebeck coefficient to estimate the figure of merit ZT based on Boltzmann transport theory to characterize this property. Our results show that this compound has interesting TE properties among 300 and 1200 K for p- and n-type doping.
© 2021 The Authors. Published by American Chemical Society.
Conflict of interest statement
The authors declare no competing financial interest.
Figures







References
-
- Recatala-Gomez J.; Suwardi A.; Nandhakumar I.; Abutaha A.; Hippalgaonkar K. Toward Accelerated Thermoelectric Materials and Process Discovery. ACS Appl. Energy Mater. 2020, 3, 2240–2257. 10.1021/acsaem.9b02222. - DOI
-
- LeBlanc S.; Yee S. K.; Scullin M. L.; Dames C.; Goodson K. E. Material and Manufacturing Cost Considerations for Thermoelectrics. Renewable Sustainable Energy Rev. 2014, 32, 313–327. 10.1016/j.rser.2013.12.030. - DOI
-
- Bilal M.; Khan B.; Rahnamaye Aliabad H. A.; Maqbool M.; Jalai Asadabadi S.; Ahmad I. Thermoelectric Properties of SbNCa3 and BiNCa3 for Thermoelectric Devices and Alternative Energy Applications. Comput. Phys. Commun. 2014, 185, 1394–1398. 10.1016/j.cpc.2014.02.001. - DOI
-
- Yang L.; Chen Z. G.; Dargusch M. S.; Zou J. High Performance Thermoelectric Materials: Progress and Their Applications. Adv. Energy Mater. 2018, 8, 1701797.10.1002/aenm.201701797. - DOI
LinkOut - more resources
Full Text Sources
Miscellaneous