Breast Cancer Treatment: The Case of Gold(I)-Based Compounds as a Promising Class of Bioactive Molecules
- PMID: 35053228
- PMCID: PMC8774004
- DOI: 10.3390/biom12010080
Breast Cancer Treatment: The Case of Gold(I)-Based Compounds as a Promising Class of Bioactive Molecules
Abstract
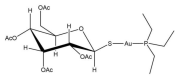
Breast cancers (BCs) may present dramatic diagnoses, both for ineffective therapies and for the limited outcomes in terms of lifespan. For these types of tumors, the search for new drugs is a primary necessity. It is widely recognized that gold compounds are highly active and extremely potent as anticancer agents against many cancer cell lines. The presence of the metal plays an essential role in the activation of the cytotoxicity of these coordination compounds, whose activity, if restricted to the ligands alone, would be non-existent. On the other hand, gold exhibits a complex biochemistry, substantially variable depending on the chemical environments around the central metal. In this review, the scientific findings of the last 6-7 years on two classes of gold(I) compounds, containing phosphane or carbene ligands, are reviewed. In addition to this class of Au(I) compounds, the recent developments in the application of Auranofin in regards to BCs are reported. Auranofin is a triethylphosphine-thiosugar compound that, being a drug approved by the FDA-therefore extensively studied-is an interesting lead gold compound and a good comparison to understand the activities of structurally related Au(I) compounds.
Keywords: Auranofin; IC50; breast cancer; carbene compounds; gold; in vitro; in vivo; metal-based drugs; molecular targets; phosphane compounds.
Conflict of interest statement
The authors declare no conflict of interest.
Figures





References
Publication types
MeSH terms
Substances
LinkOut - more resources
Full Text Sources
Medical