Incidence of seropositive rheumatoid arthritis in population-based studies in Northern Savo, Finland, during 1980-2020
- PMID: 36629937
- PMCID: PMC9833634
- DOI: 10.1007/s00296-022-05268-0
Incidence of seropositive rheumatoid arthritis in population-based studies in Northern Savo, Finland, during 1980-2020
Abstract
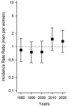
The objective is to evaluate the incidence of seropositive rheumatoid arthritis (RA) over 40-year period in Northern Savo, Finland. Data on new seropositive RA patients according to the American College of Rheumatology (ACR) 1987 classification criteria were collected in 2020-2021. In 2020 data on tobacco exposure, patient-reported dental health and living in residences with fluoridated tap water were gathered. Incidence rates were estimated and age- and gender-adjusted to Northern Savo population. The results were compared with data acquired in studies from 1980, 1990, 2000, and 2010. In 2020, 46 seropositive RA patients (21 females and 25 males) were recorded. The crude incidence of seropositive RA fulfilling the ACR 87 criteria in 2020 was 22.3 (95% CI 16.3 to 29.8)/100 000 and age and gender-adjusted 22.3 (95% CI 15.9 to 28.8)/100 000. Tobacco exposure > 5 pack years occurred 18% of females and 56% of males. Only 16% of males were full dentate. A total of 242 incident seropositive RA (age ≥ 16 years, 55% females) were identified in all study years. No differences in the gender-specific incidence rates in each cohort or in incidence between the studies every 10 years were recorded. The incidence of seropositive RA decreased in the age group < 55 years, p = 0.003. There was no change in the incidence of seropositive RA between genders or the study years. A declining trend for occurrence of seropositive RA in the young and early middle-aged population may reflect change in risk factors.
Keywords: Epidemiology; Incidence; Public health; Seropositive rheumatoid arthritis.
© 2023. The Author(s).
Conflict of interest statement
There are no financial or other relations that could lead to a conflict of interest. The authors report following financial activities outside the submitted work: MO, TR, HK, OKS and JB have reported no financial relationships. PE has received consultation fee from Astra Zeneca, lecture fee from Abbvie and reimbursement of congress costs from Mylan and Abbvie. AK has received lecture fees from Abbvie. JH has received consultation fee from Abbvie, Amgen, Boehringer Ingelheim and Novartis, lecture fees from Boehringer Ingelheim and reimbursement of congress costs from Abbvie, Medac, Novartis and Pfizer. ES has received reimbursement of congress costs from Abbvie, Novartis, Pfizer, UCB, Janssen and MSD. LA has received reimbursement of congress costs from Orion. HN has received reimbursement of congress costs from Celltrion. AP has received consultation fee from MSD, lecture fees from MSD, Novartis, UCB, Pfizer, Eli Lilly, Amgen, Boehringer Ingelheim, Abbvie, Novo Nordisk, Celgene and reimbursement of congress costs from Janssen. KS has received consultation fee from Abbvie and reimbursement of congress costs from Abbvie, Novartis and Pfizer. SK has received reimbursement of congress costs from Abbvie, UCB and Medac.
Figures



References
-
- Kaipiainen-Seppänen O, Kautiainen H. Declining trend in the incidence of rheumatoid factor positive rheumatoid arthritis in Finland during 1980–2000. J Rheumatol. 2006;33:2132–2138. - PubMed
-
- Heliövaara M, Aho K, Aromaa A, et al. Smoking and risk of rheumatoid arthritis. J Rheumatol. 1993;20:1830–1835. - PubMed
MeSH terms
LinkOut - more resources
Full Text Sources
Medical
Miscellaneous