Morphologic Development of the Posterior Sloping Angle of the Proximal Femoral Epiphysis in Children: What Is the Peak Risk Age for Slipping?
- PMID: 39618144
- PMCID: PMC11875402
- DOI: 10.1097/BPO.0000000000002875
Morphologic Development of the Posterior Sloping Angle of the Proximal Femoral Epiphysis in Children: What Is the Peak Risk Age for Slipping?
Abstract
Objective: The purpose of this study was to describe the developmental patterns of the posterior sloping angle (PSA) of the proximal femoral epiphyseal growth plate (PFEP) in a cohort of healthy Chinese children aged 5 to 14 years.
Methods: Pelvic frog-leg lateral radiographs of 400 healthy children (n=800 hips) were retrospectively analyzed. The cohort included 215 males and 185 females with a mean age of 9.5 years (5 to 14). PSA measurements of the PFEP were obtained bilaterally from frog leg lateral radiographs. Subjects were equally divided into 10 subgroups of 40 patients each (80 hips per group) based on age, starting at 5 years of age; in addition, sex and lateral differences, as well as age-related developmental patterns were analyzed.
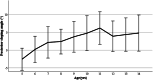
Results: The PSA was -2.6±3.1 degrees at 5 years of age, indicating mild anterior inclination of the femoral epiphysis. It increased to 6.2±4.6 degrees at 11 years of age, decreased to 3.9±4.3 degrees at 12 years of age, and then stabilized until 14 years of age. Before 11 years of age, there was no significant sex difference in PSA values, whereas, after 11 years of age, males had a PSA of 5.8±4.3 degrees compared with 3.7±5.0 degrees in females ( P <0.001), with the former showing an average increase of ~2 to 3 degrees more. In addition, the left PSA was ~2 degrees greater than the right PSA in both men and women ( P <0.001).
Conclusions: Before puberty, PSA gradually increased with age, peaking at 11 years of age, followed by a slight decline and then stabilization. After the age of 11 years, males had higher PSA levels than females, with the PSA of the left side being significantly higher than that of the right side. Understanding these developmental patterns may aid in the assessment and monitoring of adolescent PFEP disorders.
Level of evidence: Level III-diagnostic studies.
Copyright © 2024 The Author(s). Published by Wolters Kluwer Health, Inc.
Conflict of interest statement
The authors declare no conflicts of interest.
Figures




References
-
- O’Sullivan IR, Schégl ÁT, Varga P, et al. . Femoral neck-shaft angle and bone age in 4- to 24-year-olds based on 1005 EOS three-dimensional reconstructions. J Pediatr Orthop B. 2021;30:337–345. - PubMed
-
- Birkenmaier C, Jorysz G, Jansson V, et al. . Normal development of the hip: a geometrical analysis based on planimetric radiography. J Pediatr Orthop B. 2010;19:1–8. - PubMed
-
- Chung SM, Batterman SC, Brighton CT. Shear strength of the human femoral capital epiphyseal plate. J Bone Joint Surg Am. 1976;58:94–103. - PubMed
MeSH terms
LinkOut - more resources
Full Text Sources
Research Materials
Miscellaneous