Machine Learning-Driven Data Fusion of Chromatograms, Plasmagrams, and IR Spectra of Chemical Compounds of Forensic Interest
- PMID: 40028072
- PMCID: PMC11865979
- DOI: 10.1021/acsomega.4c10107
Machine Learning-Driven Data Fusion of Chromatograms, Plasmagrams, and IR Spectra of Chemical Compounds of Forensic Interest
Abstract
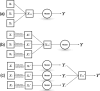
Achieving fast analytical results on-site with the highest possible accuracy in forensic analyses is crucial for investigations. While portable sensors are essential for crime scene analysis, they often face limitations in sensitivity and specificity, especially due to environmental factors. Data fusion (DF) techniques can enhance accuracy and reliability by combining information from multiple sensors. This study develops different DF approaches using data from two sensors: ion mobility spectrometry (IMS) and gas chromatography-quartz-enhanced photoacoustic spectroscopy (GC-QEPAS), aiming to improve the safety of crime scene operators and the accuracy of on-site forensic analysis. Two DF approaches were developed for acetone and DMMP: low-level (LLDF) and mid-level (MLDF), meanwhile a high-level (HLDF) approach was applied to TATP. LLDF concatenated preprocessed data matrices, while MLDF employed principal component analysis for feature extraction. LLDF and MLDF used one-class support vector machines (OC-SVM) for classification, while HLDF combined OC-SVM for IMS and SIMCA for GC-QEPAS. Sensor location within crime scenes was established using traditional measuring tape and laser distance meters, with a 1 m cutoff distance between sensors deemed appropriate for indoor crime scenes. LLDF achieved high accuracy but was sensitive to concentration variations, while MLDF enhanced the classification robustness. HLDF allowed for independent sensor use in real scenarios. All of the methods reached 100% accuracy for DMMP and acetone, and the MLDF approach was the fastest among the DF methods, demonstrating its potential for rapid applications. DF approaches can significantly enhance the safety and accuracy of forensic investigations, with future research planned to extend data sets and include more sensors.
© 2025 The Authors. Published by American Chemical Society.
Conflict of interest statement
The authors declare no competing financial interest.
Figures




References
-
- WHO. Public health response to biological and chemical weapons: WHO guidance; Geneva, 2004. - PubMed
-
- Christian Jr D. R.Forensic investigation of clandestine laboratories; CRC Press, 2022.
-
- Romolo F. S.; Vadalà G. G. New tecnologies and police activities: security and forensic issues. Energ, Ambiente e INNOVAZIONE. 2014, 1, 17–22. 10.12910/EAI2014-86. - DOI
-
- Azcarate S. M.; Ríos-Reina R.; Amigo J. M.; Goicoechea H. C. Data Handling in Data Fusion: Methodologies and Applications. TrAC, Trends In Analyt. Chem. 2021, 143, 116355.10.1016/j.trac.2021.116355. - DOI
-
- Cocchi M.Introduction: Ways and means to deal with data from multiple sources. In Data handling in science and technology; Elsevier, 2019, Vol. 31, pp. 1–26.
LinkOut - more resources
Full Text Sources
Miscellaneous