The Use of Chitosan/Perlite Material for Microbial Support in Anaerobic Digestion of Food Waste
- PMID: 40805382
- PMCID: PMC12347546
- DOI: 10.3390/ma18153504
The Use of Chitosan/Perlite Material for Microbial Support in Anaerobic Digestion of Food Waste
Abstract
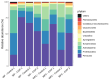
This study aims to evaluate the effect of adding a chitosan/perlite (Ch/P) carrier to anaerobic digestion (AD) on the efficiency and kinetics of the process, as well as the directional changes in the bacterial microbiome. A carrier with this composition was applied in the AD process for the first time. A laboratory experiment using wafer waste (WF) and cheese (CE) waste was conducted under mesophilic conditions. The analysis of physico-chemical properties confirmed the suitability of the tested carrier material for anaerobic digestion. Both components influenced the microstructural characteristics of the carrier: perlite contributed to the development of specific surface area, while chitosan determined the porosity of the system. Using next-generation sequencing (NGS), the study examined how the additive affected the genetic diversity of bacterial communities. Fourier-transform infrared spectroscopy (FTIR) revealed that the degradation rate depended on both the carrier and the substrate type. Consequently, the presence of the carrier led to an increase in the volume of biogas and methane produced. The volume of methane for the wafer waste (WF-control) increased from 351.72 m3 Mg-1 (VS) to 410.74 m3 Mg-1 (VS), while for the cosubstrate sample (wafer and cheese, WFC-control), it increased from 476.84 m3 Mg-1 (VS) to 588.55 m3 Mg-1 (VS).
Keywords: FTIR; NGS; anaerobic digestion; chitosan/perlite system; food waste; physico-chemical properties; process efficiency.
Conflict of interest statement
The authors declare no conflicts of interest.
Figures

















References
-
- Yadav M., Joshi C., Paritosh K., Thakur J., Pareek N., Masakapalli S.K., Vivekanand V. Reprint of Organic waste conversion through anaerobic digestion: A critical insight into the metabolic pathways and microbial interactions. Metab. Eng. 2022;17:62–76. doi: 10.1016/j.ymben.2022.02.001. - DOI - PubMed
-
- Zhou M., Yang H., Zheng D., Pu X., Liu Y., Wang L., Zhang Y., Deng L. Methanogenic activity and microbial communities characteristics in dry and wet anaerobic digestion sludges from swine manure. Biochem. Eng. J. 2019;15:107390. doi: 10.1016/j.bej.2019.107390. - DOI
LinkOut - more resources
Full Text Sources