Enhancement of Superconductivity in WP via Oxide-Assisted Chemical Vapor Transport
- PMID: 41095354
- PMCID: PMC12525612
- DOI: 10.3390/ma18194529
Enhancement of Superconductivity in WP via Oxide-Assisted Chemical Vapor Transport
Abstract
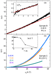
Tungsten monophosphide (WP) has been reported to superconduct below 0.8 K, and theoretical work has predicted an unconventional Cooper pairing mechanism. Here we present data for WP single crystals grown by means of chemical vapor transport (CVT) of WO3, P, and I2. In comparison to synthesis using WP powder as a starting material, this technique results in samples with substantially decreased low-temperature scattering and favors a more three-dimensional morphology. We also find that the resistive superconducting transitions in these samples begin above 1 K. Variation in Tc is often found in strongly correlated superconductors, and its presence in WP could be the result of influence from a competing order and/or a non-s-wave gap.
Keywords: quantum materials; superconductivity.
Conflict of interest statement
The authors declare no conflicts of interest.
Figures
References
-
- Rundqvist S. Phosphides of the B31 (MnP) structure type. Acta Chem. Scand. 1962;16:287–292. doi: 10.3891/acta.chem.scand.16-0287. - DOI
-
- Rundqvist S., Lundstrom T. X-ray studies of molybdenum and tungsten phosphides. Acta Chem. Scand. 1963;17:37. doi: 10.3891/acta.chem.scand.17-0037. - DOI
-
- Bellavance D., Vlasse M., Morris B., Wold A. Preparation and properties of iron monophosphide. J. Solid State Chem. 1969;1:82–87. doi: 10.1016/0022-4596(69)90011-5. - DOI
-
- Rodriguez E.E., Stock C., Krycka K.L., Majkrzak C.F., Zajdel P., Kirshenbaum K., Butch N.P., Saha S.R., Paglione J., Green M.A. Noncollinear spin-density-wave antiferromagnetism in FeAs. Phys. Rev. B. 2011;83:134438. doi: 10.1103/PhysRevB.83.134438. - DOI
-
- Hirai D., Takayama T., Hashizume D., Takagi H. Metal-insulator transition and superconductivity induced by Rh doping in the binary pnictides RuPnPn = P, As, Sb) Phys. Rev. B. 2012;85:140509. doi: 10.1103/PhysRevB.85.140509. - DOI
LinkOut - more resources
Full Text Sources
Miscellaneous
