Post-percutaneous coronary intervention psychological disorders predict poor adherence and cardiovascular events in elderly heart failure patients
- PMID: 41112626
- PMCID: PMC12531913
- DOI: 10.5498/wjp.v15.i10.111039
Post-percutaneous coronary intervention psychological disorders predict poor adherence and cardiovascular events in elderly heart failure patients
Abstract
Background: Post-procedural psychological disorders are frequently overlooked in elderly patients undergoing percutaneous coronary intervention (PCI), despite their potential impact on long-term cardiovascular outcomes.
Aim: To evaluate the incidence and prognostic significance of post-PCI psychological disorders in elderly patients with heart failure, and to examine their association with medication adherence and major adverse cardiovascular events (MACE).
Methods: This retrospective cohort study included 330 consecutive patients aged ≥ 60 years with heart failure who underwent PCI between 2018 and 2021 at a single center, excluding those with prior psychiatric diagnoses. Psychological status within six months post-discharge was assessed using validated Chinese versions of the 9-item Patient Health Questionnaire and the 7-item Generalized Anxiety Disorder Scale, and medication adherence was measured by the 8-item Morisky Medication Adherence Scale (MMAS-8) scale. A subset of 145 patients with ≥ 24 months of follow-up were analyzed for MACEs. Multivariate logistic regression and Kaplan-Meier survival analyses were performed.
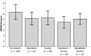
Results: Post-PCI psychological disorders were identified in 40% of patients, with anxiety (36%), depression (32%), and comorbid symptoms (22%) being most prevalent. Affected patients had lower MMAS-8 scores [median 5 (IQR 4-6) vs 6 (IQR 5-7), P = 0.002] and a higher rate of low adherence (51.5% vs 30.3%, P < 0.001). Among the 145 patients followed longitudinally, MACEs occurred in 17.9%, with 65.4% of events in those with psychological disorders. Psychological disorders (OR = 2.66, 95%CI: 1.11-6.41, P = 0.028) and low adherence (OR = 2.77, 95%CI: 1.17-6.56, P = 0.021) were independently associated with increased MACE risk. Kaplan-Meier analysis showed reduced MACE-free survival in patients with psychological disorders (HR = 2.68, 95%CI: 1.25-5.73; log-rank P = 0.008).
Conclusion: Post-PCI psychological disorders are common in elderly patients with heart failure and independently predict poorer adherence and worse cardiovascular outcomes. Routine psychological assessment and adherence interventions may improve prognosis in this vulnerable population.
Keywords: Major adverse cardiovascular events; Medication adherence; Percutaneous coronary intervention; Psychological disorders.
©The Author(s) 2025. Published by Baishideng Publishing Group Inc. All rights reserved.
Conflict of interest statement
Conflict-of-interest statement: The authors declare that there is no conflict of interest related to this study.
Figures
References
-
- Cacciatore S, Spadafora L, Bernardi M, Galli M, Betti M, Perone F, Nicolaio G, Marzetti E, Martone AM, Landi F, Asher E, Banach M, Hanon O, Biondi-Zoccai G, Sabouret P. Management of Coronary Artery Disease in Older Adults: Recent Advances and Gaps in Evidence. J Clin Med. 2023;12:5233. - PMC - PubMed
-
- Nanna MG, Sutton NR, Kochar A, Rymer JA, Lowenstern AM, Gackenbach G, Hummel SL, Goyal P, Rich MW, Kirkpatrick JN, Krishnaswami A, Alexander KP, Forman DE, Bortnick AE, Batchelor W, Damluji AA. Assessment and Management of Older Adults Undergoing PCI, Part 1: A JACC: Advances Expert Panel. JACC Adv. 2023;2:100389. - PMC - PubMed
-
- Kodeboina M, Piayda K, Jenniskens I, Vyas P, Chen S, Pesigan RJ, Ferko N, Patel BP, Dobrin A, Habib J, Franke J. Challenges and Burdens in the Coronary Artery Disease Care Pathway for Patients Undergoing Percutaneous Coronary Intervention: A Contemporary Narrative Review. Int J Environ Res Public Health. 2023;20:5633. - PMC - PubMed
-
- Damluji AA, Forman DE, Wang TY, Chikwe J, Kunadian V, Rich MW, Young BA, Page RL 2nd, DeVon HA, Alexander KP American Heart Association Cardiovascular Disease in Older Populations Committee of the Council on Clinical Cardiology and Council on Cardiovascular and Stroke Nursing; Council on Cardiovascular Radiology and Intervention; and Council on Lifestyle and Cardiometabolic Health. Management of Acute Coronary Syndrome in the Older Adult Population: A Scientific Statement From the American Heart Association. Circulation. 2023;147:e32–e62. - PMC - PubMed
LinkOut - more resources
Full Text Sources
Miscellaneous
