Detection of oncostatin M in synovial fluid from patients with rheumatoid arthritis
- PMID: 9135222
- PMCID: PMC1752333
- DOI: 10.1136/ard.56.3.184
Detection of oncostatin M in synovial fluid from patients with rheumatoid arthritis
Abstract
Objective: To measure oncostatin M (OSM) in synovial fluid from patients with rheumatoid arthritis (RA) and osteoarthritis (OA).
Methods: 20 samples of synovial fluid from patients with RA and 10 samples from patients with OA were examined using an OSM specific sandwich ELISA.
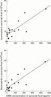
Results: OSM was detected at concentrations ranging from 2.36 to 901.82 pg/ml in 18 (90%) of 20 samples of synovial fluid from RA patients. There was no detectable OSM in synovial fluid from OA patients. In the RA patients, the OSM concentration in synovial fluid correlated significantly with the synovial fluid white blood cell count (r = 0.67, p < 0.01), but not with other laboratory parameters of disease activity.
Conclusion: These findings suggest that OSM may contribute to joint inflammation in RA.
Figures
Publication types
MeSH terms
Substances
LinkOut - more resources
Full Text Sources
Other Literature Sources
Medical
