Increased susceptibility of diabetic mice to influenza virus infection: compromise of collectin-mediated host defense of the lung by glucose?
- PMID: 9658139
- PMCID: PMC109899
- DOI: 10.1128/JVI.72.8.6884-6887.1998
Increased susceptibility of diabetic mice to influenza virus infection: compromise of collectin-mediated host defense of the lung by glucose?
Abstract
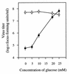
The influence of diabetes on susceptibility to influenza virus infection was examined in a mouse model in which RIP-Kb transgenic mice and their nontransgenic littermates were used as the diabetic and nondiabetic hosts, respectively. Influenza virus A/Phil/82 (H3N2) grew to significantly higher titers in the lungs of diabetic than nondiabetic mice. The extent of viral replication in the lungs was proportional to blood glucose levels in the mice at the time of infection, and the enhanced susceptibility of diabetic mice was reversed with insulin. Growth of A/HKx31 (H3N2) virus was also enhanced in diabetic mice, whereas the highly virulent strain A/PR/8/34 (H1N1) showed no difference in virus yields in diabetic and nondiabetic mice, even with low inocula. A/Phil/82 and A/HKx31 are sensitive to neutralization in vitro by the pulmonary collectin surfactant protein D (SP-D), whereas A/PR/8/34 is essentially resistant. Glucose is a ligand for SP-D, and neutralization of A/Phil/82 virus by SP-D was abolished in the presence of glucose at levels commonly found in diabetic mice. These findings suggest that in mice, and perhaps in humans, diabetes predisposes to influenza virus infection through compromise of collectin-mediated host defense of the lung by glucose.
Figures
References
-
- Allison J, Campbell I L, Morahan T E, Mandel T E, Harrison L C, Miller J F A P. Diabetes in transgenic mice resulting from over-expression of class I histocompatibility molecules in pancreatic β cells. Nature. 1988;333:529–533. - PubMed
-
- Bouter K P, Diepersloot R J A, van Romunde L K J, Uitslager R, Masurel N, Hoekstra J B L, Erkelens D W. Effect of epidemic influenza on ketoacidosis, pneumonia and death in diabetes mellitus: a hospital register survey of 1976–1979 in The Netherlands. Diabetes Res Clin Pract. 1991;12:61–68. - PubMed
-
- Crouch E C, Chang D, Rust K, Persson A, Heuser J. Recombinant pulmonary surfactant protein D. J Biol Chem. 1994;269:15808–15813. - PubMed
Publication types
MeSH terms
Substances
LinkOut - more resources
Full Text Sources
Medical
Molecular Biology Databases
Research Materials
Miscellaneous
